728x90
그래프(Graph)
그래프는 연결되어있는 원소들 간의 관계를 표현한 자료구조이다.

일상 속에서의 대표적인 예시로는 지하철 노선도를 떠올릴 수 있다.
그래프 관련 용어
- 정점(vertex): 노드라고도 하며, 각 지점(위치)을 의미한다.
- 간선(edge): 정점들을 잇는 선을 의미한다.
- 사이클(cycle): 시작 정점과 종료 정점이 동일한 경우를 의미한다.
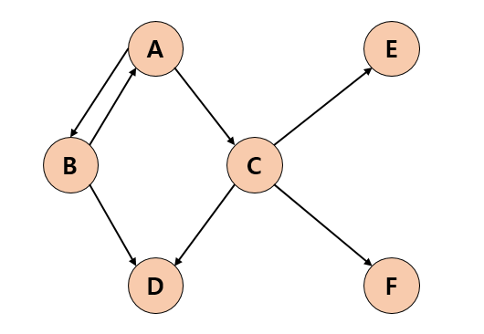
- 인접 정점(adjacent vertex): 간선에 의해 직접 연결된 정점을 의미한다. ex) A-B, C-E, C-F
- 정점의 차수(degree): 무방향 그래프에서 각 정점에서의 간선의 수를 의미한다.
그래프의 종류
1. 방향 그래프
- 간선에 방향이 존재하는 그래프
- A와 B가 연결되어 있을 때, (A, B)와 (B, A)는 다르다.

2. 무방향 그래프
- 간선에 방향이 존재하지 않는 그래프
- 한 간선을 통해 양방향 이동이 가능하다.
- A와 B가 연결되어 있을 때, (A, B)와 (B, A)가 같다.

3. 가중치 그래프
- 두 정점 간 이동을 할 때, 비용이 드는 그래프
- 방향 그래프일 수도, 무방향 그래프일 수도 있다.

4. 완전 그래프
- 모든 정점이 연결되어 있는 그래프
- 무방향 완전 그래프의 노드가 n개일 때 간선의 수는 n * (n - 1) / 2개이다.

그래프 구현
그래프를 구현하는데는 2가지 방법이 있다.
1. 인접 행렬(Adjacency Matrix)
인접 행렬은 n * n 형태의 배열 즉, 2차원 배열을 이용한다.
node1과 node2가 연결되있다는 것을 matrix[node1][node2] = true와 같은 식으로 체크해주면 된다.
fun main() {
val nodeCount = 4
val matrix = Array(nodeCount + 1) { BooleanArray(nodeCount + 1) }
val edgeCount = 3
repeat(edgeCount) { i ->
val (node1, node2) = readLine()!!.split(" ").map { it.toInt() }
matrix[node1][node2] = true
}
printMatrix(matrix)
}
private fun printMatrix(matrix: Array<BooleanArray>) {
repeat(matrix.size) { i ->
repeat(matrix[i].size) { j ->
print("${matrix[i][j]} ")
}
println()
}
}

무방향 그래프라면 양방향으로 연결된 것이므로 matrix[node1][node2] = true, matrix[node2][node1] = true가 되어 대칭 행렬이 된다.
- 장점
- 구현하기 쉽다.
- 두 정점을 연결하는 간선의 존재 여부를 O(1) 시간 복잡도 안에 확인할 수 있다.
- 단점
- 간선의 갯수에 상관없이 n * n 크기의 배열을 만들어야 한다.
- 그래프에 존재하는 간선의 수는 O(n2)안에 알 수 있다.
2. 인접 리스트(Adjacency List)
각 정점에 인접 정점들을 리스트로 표시해주는 방법이다.
정점의 번호만 안다면, 이 정점의 인접 정점들에 쉽게 접근할 수 있다.
fun main() {
val nodeCount = 4
val matrix = Array(nodeCount + 1) { mutableListOf<Int>() }
val edgeCount = 5
repeat(edgeCount) {
val (node1, node2) = readLine()!!.split(" ").map { it.toInt() }
matrix[node1].add(node2)
}
printList(matrix)
}
private fun printList(matrix: Array<MutableList<Int>>) {
for(i in 1 until matrix.size) {
println("${i}번 노드: ${matrix[i]}")
}
}

인접행렬과 마찬가지로 무방향 그래프일 때는 matrix[node2].add(node1)까지 해줘야 한다.
- 장점
- 각 노드에 인접한 노드를 쉽게 찾을 수 있다.
- 그래프에 존재하는 간선의 수를 O(E) 안에 찾을 수 있다.
- 단점
- node1과 node2가 연결되어있는 것을 확인하고 싶을 때, graph[node1]의 리스트 전체를 돌며 확인해야 한다. 즉, 정점의 차수만큼의 시간이 필요하다.
728x90
'자료구조' 카테고리의 다른 글
| [자료구조] 우선순위 큐(Priority Queue) (0) | 2023.10.08 |
|---|---|
| [자료구조] 트리(Tree) (1) | 2023.10.02 |
| [자료구조] 큐(Queue) (0) | 2023.09.30 |
| [자료구조] 스택(Stack) (0) | 2023.09.26 |
| [자료구조] 리스트(2).연결리스트(LinkedList) (1) | 2023.09.26 |
댓글