https://www.acmicpc.net/problem/1697
1697번: 숨바꼭질
수빈이는 동생과 숨바꼭질을 하고 있다. 수빈이는 현재 점 N(0 ≤ N ≤ 100,000)에 있고, 동생은 점 K(0 ≤ K ≤ 100,000)에 있다. 수빈이는 걷거나 순간이동을 할 수 있다. 만약, 수빈이의 위치가 X일
www.acmicpc.net
문제
수빈이는 동생과 숨바꼭질을 하고 있다. 수빈이는 현재 점 N(0 ≤ N ≤ 100,000)에 있고, 동생은 점 K(0 ≤ K ≤ 100,000)에 있다. 수빈이는 걷거나 순간이동을 할 수 있다. 만약, 수빈이의 위치가 X일 때 걷는다면 1초 후에 X-1 또는 X+1로 이동하게 된다. 순간이동을 하는 경우에는 1초 후에 2*X의 위치로 이동하게 된다.
수빈이와 동생의 위치가 주어졌을 때, 수빈이가 동생을 찾을 수 있는 가장 빠른 시간이 몇 초 후인지 구하는 프로그램을 작성하시오.
입력
첫 번째 줄에 수빈이가 있는 위치 N과 동생이 있는 위치 K가 주어진다. N과 K는 정수이다.
출력
수빈이가 동생을 찾는 가장 빠른 시간을 출력한다.
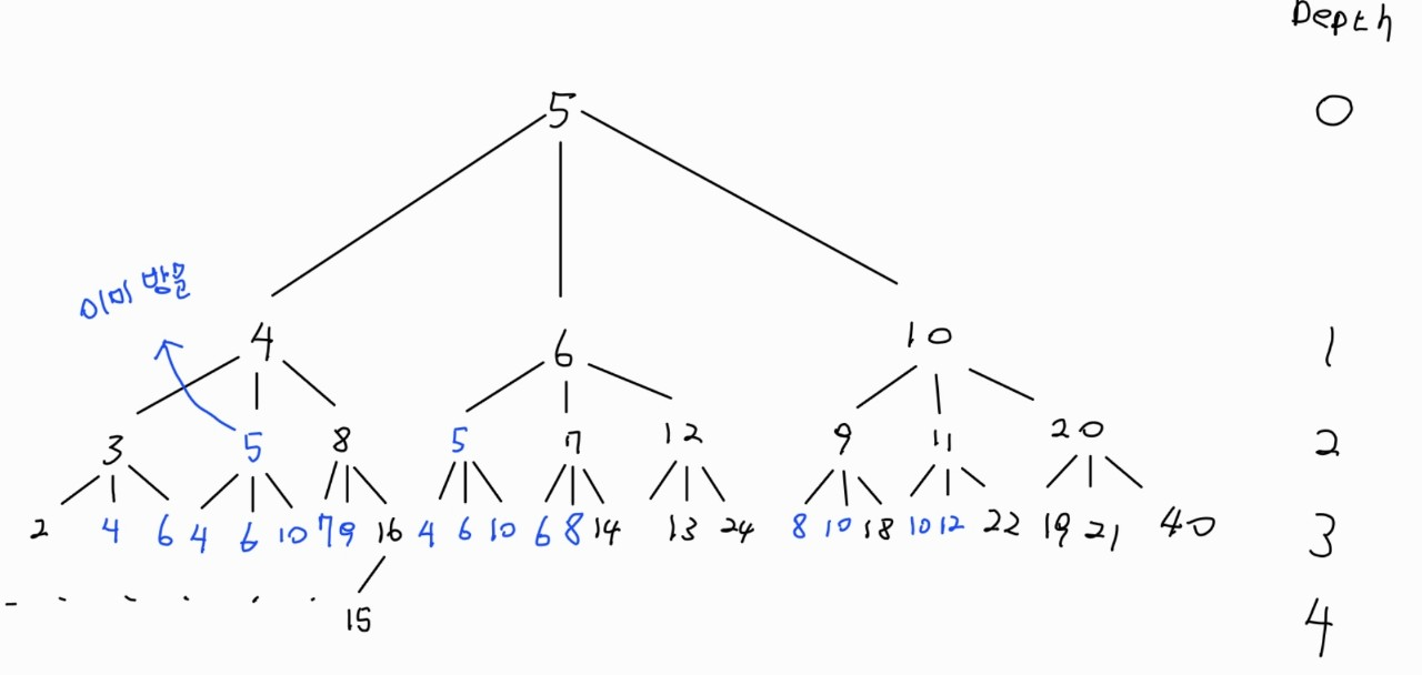
해설

위 그림은 예제 입력 1의 과정을 그린 것이다.
파란색은 이미 방문했던 지점으로 또 다시 탐색을 할 필요가 없다.
트리의 형태이며, 탐색 알고리즘 중 하나인 bfs를 이용하여 문제를 푼다.
bfs를 이용하므로 큐를 사용한다.
위의 그림을 보면 알 수 있듯이, 큐에는 수빈이의 위치와 깊이를 pair 형태로 넣어준다.
또한 이미 방문했던 위치라면 또 다시 방문할 필요가 없으므로, 방문 여부를 체크할 visited 배열이 있다하자.
수빈이가 이동했을 때, 동생의 위치와 같아진다면, 그 때의 깊이를 출력하면 되고,
같지 않다면 큐에 -1, +1, *2한 위치와 깊이 + 1을 한 값들을 저장하여 동생과 위치가 같아질 때까지 반복하면 된다.
소스 코드
import java.util.*
fun main() = with(System.`in`.bufferedReader()) {
val (subinIdx, brotherIdx) = readLine().split(" ").map { it.toInt() }
if(subinIdx == brotherIdx) {
println(0)
return
}
println(moveSubin(subinIdx, brotherIdx))
}
fun moveSubin(subinIdx: Int, brotherIdx: Int): Int {
var result = 0
val visited = BooleanArray(100001)
val que: Queue<Pair<Int, Int>> = LinkedList()
que.add(Pair(subinIdx, 0))
while(!que.isEmpty()) {
val now = que.poll()
val nowIdx = now.first
val depth = now.second
if(nowIdx == brotherIdx) {
result = depth
break
}
if(nowIdx - 1 in 0..100000 && !visited[nowIdx - 1]) {
visited[nowIdx-1] = true;
que.add(Pair(nowIdx - 1, depth + 1))
}
if(nowIdx + 1 in 0..100000 && !visited[nowIdx + 1]) {
visited[nowIdx+1] = true;
que.add(Pair(nowIdx + 1, depth + 1))
}
if(nowIdx * 2 in 0..100000 && !visited[nowIdx * 2]) {
visited[nowIdx*2] = true;
que.add(Pair(nowIdx * 2, depth + 1))
}
}
return result
}'PS(Problem Solving) > BOJ' 카테고리의 다른 글
| [백준/BOJ] 11724번: 연결 요소의 개수 (0) | 2022.06.19 |
|---|---|
| [백준/BOJ] 2573번: 빙산 (0) | 2022.06.16 |
| [백준/BOJ] 1260번: DFS와 BFS (0) | 2022.06.14 |
| [백준/BOJ] 7576번: 토마토 (0) | 2022.04.23 |
| [백준/BOJ] 2667번: 단지번호붙이기 (0) | 2022.04.17 |
댓글